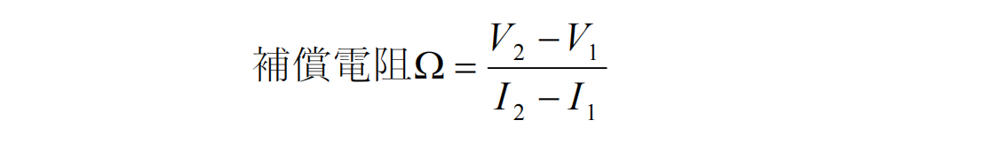
E. 补偿电阻(Offset Compensated Ω)

1. 接线如图 3-1。
2.先按「CONFIG」,然后按「FCTN」,选择「OFF-COMP-OHMS」然后按「ENTER」。
3.设定 I1,I2。
4.按 SOURCE I。
5 按「FCTN」。
6.按 OUTPUT ON/OFF 输出电源。
7.自面板读取量测值
F.量测变阻器α值(Varistor α)

1.接线如图 3-1。
2.先按「CONFIG」,然后按「FCTN」,选择「VAR-ALPHA」然后按「ENTER」。
3. 设定 I1,I2。
4.按 SOURCE I。
5.按「FCTN」。
6.按 OUTPUT ON/OFF 输出电源。
7.自面板读取量测值
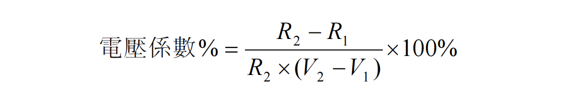
G.量测电压系数

1. 接线如图 3-1。
2.先按「CONFIG」,然后按「FCTN」,选择「VOLT-COEFF」然后按「ENTER」。
3.设定 V1,V2。
4.按 SOURCE V。
5.按 MEAS 「FCTN」。
6.按 OUTPUT ON/OFF 输出电源。
7.自面板读取量测值。
量测百分比

1. 接线如图 3-1。
2.先按「CONFIG」,然后按「FCTN」,选择「%DEV」然后按「ENTER」。
3.设定参考值「REF」。
4.设定参考高低容许范围「HI TOL」、「LO TOL」。
5.按 SOURCE I 或 V。
6.按 MEAS 「FCTN」。
7.按 OUTPUT ON/OFF 输出电源。
8.自面板读取量测值
电源扫描(sweep)设定
2400 共有四种扫描模式:线性阶梯波扫描(linear staircase)、对数阶梯波扫描(logarithmic staircase)、自订波型扫描(custom)、内存扫描(source memory)。这四种模式简述如下: 线性阶梯波扫描(linear staircase)
如图 4-1 所示,必须设定起始准位(START)、结束准位(STOP)、位阶大小(STEP)、延 迟时间(DELAY)

对数阶梯波扫描(logarithmic staircase)
如图 4-2 所示,必须设定起始准位(START)、结束准位(STOP)、扫描点数(NO OF POINTS)、 延迟时间(DELAY)。

自订波型扫描(custom)
如图 4-3 所示,必须设定扫描点数(#-POINTS)、各点的准位(ADJUST-POINTS)、延迟时 间(DELAY)。

内存扫描(source memory)
我们可以把不同的量测组态存在内存中,然后透过记忆扫描来做不同组态的测试,最多可 以设定 100 组不同的量测组态。举例而言,对一待测组件,我想先送电压量电流,然后再 送电流量电压,最后测它的电阻值,那么我可以先把送电流量电压的设定存入内存中,再 存入送电流量电压的设定,最后存入电阻量测的设定,完成以上设定之后做记忆扫描即可 循序完成以上三种测试。
A. 线性阶梯波扫描(linear staircase)
1.选择送电压(按「V」)或送电流(按「I」)。
2.按「CONFIG」然后按「SWEEP」,进入「TYPE」选项,选择「STAIR」。
3.进入起始准位(START)设定,按 EDIT 左、右键来改变光标位置,可直接按各键来设定 数值(如按「LOCAL」即”0”, 「REL」即”1” …),或按▲和▼来循序改变数值,确定 之后按「ENTER」。
4.同步骤三,依序设定结束准位(STOP)、位阶大小(STEP)后,回到扫描设定选单 (CINFIGURE SWEEPS)。
5.选择「SWEEP COUNT」,选择扫描循环数,「FINITE」可设定有限循环数,「INFINITE」 1011 则可无限制进行扫描。
6.回到扫描设定选单(CINFIGURE SWEEPS),进入「SOURCE-RANGING」,设定电源范 围模式设定,「BEST-FIXED」、「AUTO-RANGE」或「FIXED」。 ※以上三种电源范围模式详细说明可参考「User’s Manual 」10-10 页。
7.做完以上设定之后,按「EXIT」键回到主画面,按「CONFIG」键后按「TRIG」键,进 入「TRIG-LAYER」,再进入「DELAY」选项,设定延迟时间(DELAY)。
8.回到主画面,按「ON/OFF」输出电源,然后按「SWEEP」则自动进行扫描量测。
9. 扫描完毕之后,再按一次「ON/OFF」关闭电源,按「RECALL」键可显示内存中储存 的各量测值,如图 4-4。可按▲和▼改变内存位置,选择不同扫描准位下的量测值,右下 角并显示时间(以开始量测的时间为基准时间)

B. 对数阶梯波扫描(logarithmic staircase)
1.选择送电压(按「V」)或送电流(按「I」)。
2.按「CONFIG」然后按「SWEEP」,进入「TYPE」选项,选择「LOG」。
3.进入起始准位(START)设定,按 EDIT 左、右键来改变光标位置,可直接按各键来设定 数值(如按「LOCAL」即”0”, 「REL」即”1” …),或按▲和▼来循序改变数值,确定 之后按「ENTER」。
4.同步骤三,依序设定结束准位(STOP)、扫描点数(NO OF POINTS)后,回到扫描设定 选单(CINFIGURE SWEEPS)。
5.选择「SWEEP COUNT」,选择扫描循环数,「FINITE」可设定有限循环数,「INFINITE」 则可无限制进行扫描。
6.回到扫描设定选单(CINFIGURE SWEEPS),进入「SOURCE-RANGING」,设定电源范 围模式设定,「BEST-FIXED」、「AUTO-RANGE」或「FIXED」。
※以上三种电源范围模式详细说明可参考「User’s Manual 」10-10 页。
7.做完以上设定之后,按「EXIT」键回到主画面,按「CONFIG」键后按「TRIG」键,进 入「TRIG-LAYER」,再进入「DELAY」选项,设定延迟时间(DELAY)。
8.回到主画面,按「ON/OFF」输出电源,然后按「SWEEP」则自动进行扫描量测。
9.扫描完毕之后,再按一次「ON/OFF」关闭电源,按「RECALL」键可显示内存中储存的 各量测值,如图 4-4。可按▲和▼改变内存位置,选择不同扫描准位下的量测值,右下角 并显示时间(以开始量测的时间为基准时间)
C. 自订波型扫描(custom)
1.选择送电压(按「V」)或送电流(按「I」)。
2.按「CONFIG」然后按「SWEEP」,进入「TYPE」选项,选择「CUSTOM」。
3.进入点数(#-POINTS)设定,按 EDIT 左、右键来改变光标位置,可直接按各键来设定 数值(如按「LOCAL」即”0”, 「REL」即”1” …),或按▲和▼来循序改变数值,确定 之后按「ENTER」。
4.回到自订波型扫描画面(CUSTOM SWEEP),进入各点设定(ADJUST-POINTS),左边 代表第几点,右边代表该点的准位,”P0010 : +5.000000 _V”代表第十一点(第一点为 P0000)准位为”+5.000000V”,按 EDIT 左、右键改变光标位置,直接按各键来设定数值 (如按「LOCAL」即”0”, 「REL」即”1” …),或按▲和▼来循序改变数值,确定之后 按「ENTER」。
5.如果连续数点准位相同,如第六点到第十一点准位皆为”+3V”,则可进入自订波型扫描画 面(CUSTOM SWEEP)下的「INIT」,设定准位值(VALUE)及起始点(START PT) 和结束点(STOP PT)。
6.选择「SWEEP COUNT」,选择扫描循环数,「FINITE」可设定有限循环数,「INFINITE」则可无限制进行扫描。
7.回到扫描设定选单(CINFIGURE SWEEPS),进入「SOURCE-RANGING」,设定电源范 围模式设定,「BEST-FIXED」、「AUTO-RANGE」或「FIXED」。
※以上三种电源范围模式详细说明可参考「User’s Manual 」10-10 页。
8.做完以上设定之后,按「EXIT」键回到主画面,按「CONFIG」键后按「TRIG」键,进 入「TRIG-LAYER」,再进入「DELAY」选项,设定延迟时间(DELAY)。
9.回到主画面,按「ON/OFF」输出电源,然后按「SWEEP」则自动进行扫描量测。
10. 扫描完毕之后,再按一次「ON/OFF」关闭电源,按「RECALL」键可显示内存中储存 的各量测值,如图 3-3。可按▲和▼改变内存位置,选择不同扫描准位下的量测值,右下 角并显示时间(以开始量测的时间为基准时间)
D. 内存扫描(source memory sweep)
1.设定第一组所欲量测的测试组态,包括:电源、量值、位数、速度…等。
2.按「MENU」键,选择「SAVESETUP/SOURCE MEMORY/SAVE」,并选择所欲储存的内 存位置,按「ENTER」确定。
3.重复步骤 1~2,将各组测试状态储存于不同内存中。
4.按「CONFIG」然后按「SWEEP」,进入「TYPE」选项,选择「SRC MEMORY」。
5.选择你所要扫描的起始内存位置,以及所欲扫描的点数。
6.回到扫描设定选单(CINFIGURE SWEEPS),进入「SWEEP COUNT」,选择扫描循环数, 「FINITE」可设定有限循环数,「INFINITE」则可无限制进行扫描。
7.回到扫描设定选单(CINFIGURE SWEEPS),进入「SOURCE-RANGING」,设定电源范 围模式设定,「BEST-FIXED」、「AUTO-RANGE」或「FIXED」。 ※以上三种电源范围模式详细说明可参考「User’s Manual 」10-10 页。
8.做完以上设定之后,按「EXIT」键回到主画面,按「CONFIG」键后按「TRIG」键,进 入「TRIG-LAYER」,再进入「DELAY」选项,设定延迟时间(DELAY)。
9.回到主画面,按「ON/OFF」输出电源,然后按「SWEEP」则自动进行扫描量测。
10.扫描完毕之后,再按一次「ON/OFF」关闭电源,按「RECALL」键可显示内存中储存 的各量值,如图 4-4。可按▲和▼改变内存位置,选择不同扫描准位下的量测值,右下角 并显示时间(以开始量测的时间为基准时间)
E. 补偿电阻(Offset Compensated Ω)

1. 接线如图 3-1。
2.先按「CONFIG」,然后按「FCTN」,选择「OFF-COMP-OHMS」然后按「ENTER」。
3.设定 I1,I2。
4.按 SOURCE I。
5 按「FCTN」。
6.按 OUTPUT ON/OFF 输出电源。
7.自面板读取量测值
F.量测变阻器α值(Varistor α)

1.接线如图 3-1。
2.先按「CONFIG」,然后按「FCTN」,选择「VAR-ALPHA」然后按「ENTER」。
3. 设定 I1,I2。
4.按 SOURCE I。
5.按「FCTN」。
6.按 OUTPUT ON/OFF 输出电源。
7.自面板读取量测值
G.量测电压系数

1. 接线如图 3-1。
2.先按「CONFIG」,然后按「FCTN」,选择「VOLT-COEFF」然后按「ENTER」。
3.设定 V1,V2。
4.按 SOURCE V。
5.按 MEAS 「FCTN」。
6.按 OUTPUT ON/OFF 输出电源。
7.自面板读取量测值。
量测百分比

1. 接线如图 3-1。
2.先按「CONFIG」,然后按「FCTN」,选择「%DEV」然后按「ENTER」。
3.设定参考值「REF」。
4.设定参考高低容许范围「HI TOL」、「LO TOL」。
5.按 SOURCE I 或 V。
6.按 MEAS 「FCTN」。
7.按 OUTPUT ON/OFF 输出电源。
8.自面板读取量测值
电源扫描(sweep)设定
2400 共有四种扫描模式:线性阶梯波扫描(linear staircase)、对数阶梯波扫描(logarithmic staircase)、自订波型扫描(custom)、内存扫描(source memory)。这四种模式简述如下: 线性阶梯波扫描(linear staircase)
如图 4-1 所示,必须设定起始准位(START)、结束准位(STOP)、位阶大小(STEP)、延 迟时间(DELAY)

对数阶梯波扫描(logarithmic staircase)
如图 4-2 所示,必须设定起始准位(START)、结束准位(STOP)、扫描点数(NO OF POINTS)、 延迟时间(DELAY)。

自订波型扫描(custom)
如图 4-3 所示,必须设定扫描点数(#-POINTS)、各点的准位(ADJUST-POINTS)、延迟时 间(DELAY)。

内存扫描(source memory)
我们可以把不同的量测组态存在内存中,然后透过记忆扫描来做不同组态的测试,最多可 以设定 100 组不同的量测组态。举例而言,对一待测组件,我想先送电压量电流,然后再 送电流量电压,最后测它的电阻值,那么我可以先把送电流量电压的设定存入内存中,再 存入送电流量电压的设定,最后存入电阻量测的设定,完成以上设定之后做记忆扫描即可 循序完成以上三种测试。
A. 线性阶梯波扫描(linear staircase)
1.选择送电压(按「V」)或送电流(按「I」)。
2.按「CONFIG」然后按「SWEEP」,进入「TYPE」选项,选择「STAIR」。
3.进入起始准位(START)设定,按 EDIT 左、右键来改变光标位置,可直接按各键来设定 数值(如按「LOCAL」即”0”, 「REL」即”1” …),或按▲和▼来循序改变数值,确定 之后按「ENTER」。
4.同步骤三,依序设定结束准位(STOP)、位阶大小(STEP)后,回到扫描设定选单 (CINFIGURE SWEEPS)。
5.选择「SWEEP COUNT」,选择扫描循环数,「FINITE」可设定有限循环数,「INFINITE」 1011 则可无限制进行扫描。
6.回到扫描设定选单(CINFIGURE SWEEPS),进入「SOURCE-RANGING」,设定电源范 围模式设定,「BEST-FIXED」、「AUTO-RANGE」或「FIXED」。 ※以上三种电源范围模式详细说明可参考「User’s Manual 」10-10 页。
7.做完以上设定之后,按「EXIT」键回到主画面,按「CONFIG」键后按「TRIG」键,进 入「TRIG-LAYER」,再进入「DELAY」选项,设定延迟时间(DELAY)。
8.回到主画面,按「ON/OFF」输出电源,然后按「SWEEP」则自动进行扫描量测。
9. 扫描完毕之后,再按一次「ON/OFF」关闭电源,按「RECALL」键可显示内存中储存 的各量测值,如图 4-4。可按▲和▼改变内存位置,选择不同扫描准位下的量测值,右下 角并显示时间(以开始量测的时间为基准时间)

B. 对数阶梯波扫描(logarithmic staircase)
1.选择送电压(按「V」)或送电流(按「I」)。
2.按「CONFIG」然后按「SWEEP」,进入「TYPE」选项,选择「LOG」。
3.进入起始准位(START)设定,按 EDIT 左、右键来改变光标位置,可直接按各键来设定 数值(如按「LOCAL」即”0”, 「REL」即”1” …),或按▲和▼来循序改变数值,确定 之后按「ENTER」。
4.同步骤三,依序设定结束准位(STOP)、扫描点数(NO OF POINTS)后,回到扫描设定 选单(CINFIGURE SWEEPS)。
5.选择「SWEEP COUNT」,选择扫描循环数,「FINITE」可设定有限循环数,「INFINITE」 则可无限制进行扫描。
6.回到扫描设定选单(CINFIGURE SWEEPS),进入「SOURCE-RANGING」,设定电源范 围模式设定,「BEST-FIXED」、「AUTO-RANGE」或「FIXED」。
※以上三种电源范围模式详细说明可参考「User’s Manual 」10-10 页。
7.做完以上设定之后,按「EXIT」键回到主画面,按「CONFIG」键后按「TRIG」键,进 入「TRIG-LAYER」,再进入「DELAY」选项,设定延迟时间(DELAY)。
8.回到主画面,按「ON/OFF」输出电源,然后按「SWEEP」则自动进行扫描量测。
9.扫描完毕之后,再按一次「ON/OFF」关闭电源,按「RECALL」键可显示内存中储存的 各量测值,如图 4-4。可按▲和▼改变内存位置,选择不同扫描准位下的量测值,右下角 并显示时间(以开始量测的时间为基准时间)
C. 自订波型扫描(custom)
1.选择送电压(按「V」)或送电流(按「I」)。
2.按「CONFIG」然后按「SWEEP」,进入「TYPE」选项,选择「CUSTOM」。
3.进入点数(#-POINTS)设定,按 EDIT 左、右键来改变光标位置,可直接按各键来设定 数值(如按「LOCAL」即”0”, 「REL」即”1” …),或按▲和▼来循序改变数值,确定 之后按「ENTER」。
4.回到自订波型扫描画面(CUSTOM SWEEP),进入各点设定(ADJUST-POINTS),左边 代表第几点,右边代表该点的准位,”P0010 : +5.000000 _V”代表第十一点(第一点为 P0000)准位为”+5.000000V”,按 EDIT 左、右键改变光标位置,直接按各键来设定数值 (如按「LOCAL」即”0”, 「REL」即”1” …),或按▲和▼来循序改变数值,确定之后 按「ENTER」。
5.如果连续数点准位相同,如第六点到第十一点准位皆为”+3V”,则可进入自订波型扫描画 面(CUSTOM SWEEP)下的「INIT」,设定准位值(VALUE)及起始点(START PT) 和结束点(STOP PT)。
6.选择「SWEEP COUNT」,选择扫描循环数,「FINITE」可设定有限循环数,「INFINITE」则可无限制进行扫描。
7.回到扫描设定选单(CINFIGURE SWEEPS),进入「SOURCE-RANGING」,设定电源范 围模式设定,「BEST-FIXED」、「AUTO-RANGE」或「FIXED」。
※以上三种电源范围模式详细说明可参考「User’s Manual 」10-10 页。
8.做完以上设定之后,按「EXIT」键回到主画面,按「CONFIG」键后按「TRIG」键,进 入「TRIG-LAYER」,再进入「DELAY」选项,设定延迟时间(DELAY)。
9.回到主画面,按「ON/OFF」输出电源,然后按「SWEEP」则自动进行扫描量测。
10. 扫描完毕之后,再按一次「ON/OFF」关闭电源,按「RECALL」键可显示内存中储存 的各量测值,如图 3-3。可按▲和▼改变内存位置,选择不同扫描准位下的量测值,右下 角并显示时间(以开始量测的时间为基准时间)
D. 内存扫描(source memory sweep)
1.设定第一组所欲量测的测试组态,包括:电源、量值、位数、速度…等。
2.按「MENU」键,选择「SAVESETUP/SOURCE MEMORY/SAVE」,并选择所欲储存的内 存位置,按「ENTER」确定。
3.重复步骤 1~2,将各组测试状态储存于不同内存中。
4.按「CONFIG」然后按「SWEEP」,进入「TYPE」选项,选择「SRC MEMORY」。
5.选择你所要扫描的起始内存位置,以及所欲扫描的点数。
6.回到扫描设定选单(CINFIGURE SWEEPS),进入「SWEEP COUNT」,选择扫描循环数, 「FINITE」可设定有限循环数,「INFINITE」则可无限制进行扫描。
7.回到扫描设定选单(CINFIGURE SWEEPS),进入「SOURCE-RANGING」,设定电源范 围模式设定,「BEST-FIXED」、「AUTO-RANGE」或「FIXED」。 ※以上三种电源范围模式详细说明可参考「User’s Manual 」10-10 页。
8.做完以上设定之后,按「EXIT」键回到主画面,按「CONFIG」键后按「TRIG」键,进 入「TRIG-LAYER」,再进入「DELAY」选项,设定延迟时间(DELAY)。
9.回到主画面,按「ON/OFF」输出电源,然后按「SWEEP」则自动进行扫描量测。
10.扫描完毕之后,再按一次「ON/OFF」关闭电源,按「RECALL」键可显示内存中储存 的各量值,如图 4-4。可按▲和▼改变内存位置,选择不同扫描准位下的量测值,右下角 并显示时间(以开始量测的时间为基准时间)